新闻动态
物理与天文学院艾清副教授课题组提出类轴子暗物质探测候选方案
近日,北京师范大学物理与天文学院艾清副教授课题组在搜寻类轴子暗物质的研究领域取得进展,提出利用量子芝诺效应通过放大微弱磁场搜寻类似轴子的暗物质,相比传统方法,放大精度提升e1/2倍,在轴子窗口内,理论上突破了轴子存在的新界限,为寻找类轴子暗物质及奇异相互作用的新约束的实验提供了参考。该成果发表于国际学术期刊《物理评论D》(《Physical Review D》)。
暗物质是浩瀚宇宙中一种“看不见摸不着” 的神秘存在,占宇宙总质能的26.8%,主导了宇宙结构的形成。目前,物理学家提出了多种暗物质候选粒子,其中轴子不仅可以通过非热平衡过程产生足够的宇宙丰度,还具有足够长的寿命,是超轻波动型暗物质最热门的候选模型。然而,传统探测手段对类轴子束手无策。比如大型强子对撞机擅长 “撞出” 重粒子,却难以捕捉质量极轻的类轴子;而轴子与普通物质的非引力相互作用极其微弱,这样的信号太微弱,常规仪器根本 “抓不住”。此前,科学家曾尝试用核自旋放大弱磁场:将自旋极化的铷(⁸⁷Rb)原子与 氙(¹²⁹Xe)惰性气体混合,利用原子间的相互作用放大轴子产生的弱磁场。在此基础上,本研究指出,当考虑量子芝诺效应时,通过理论计算发现,在相同条件下,相比马尔可夫噪声,高斯噪声下的弱磁场放大倍数提升了e1/2倍。利用量子芝诺效应的放大方案,能将 “中子自旋耦合常数” 的约束精度提升e1/2倍,展现了量子芝诺效应下弱磁场放大倍数的优越性。团队还计算出了 “最优测量时间”:当外部磁场与 ¹²⁹Xe 自旋共振时,最佳测量时间等于退相干时间;非共振时,则需根据失谐量调整,确保在信号最强时捕捉数据。这项研究不仅提升了弱磁场测量精度,更直接推动了类轴子暗物质的探测。
此项研究是课题组在量子(反)芝诺效应相关研究长期耕耘的有一次突破,例如,2022年课题组和南方科技大学鲁大为团队合作,通过量子模拟实验,证明量子芝诺效应可以利用量子纠缠提高量子精密测量精度N1/4倍。

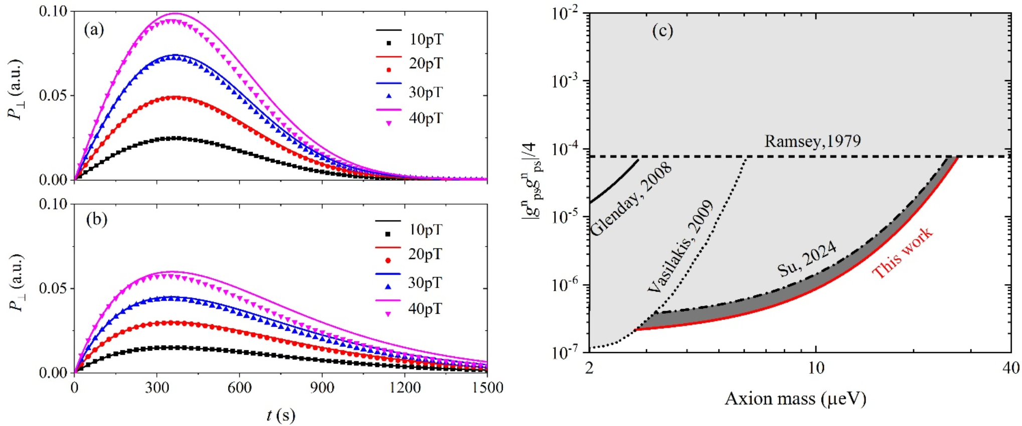
(a) 高斯噪声和 (b)马尔可夫噪声下129Xe的横向磁场响应随外磁场时间变化的演变过程。图(c) 轴子窗口内耦合常数乘积
的约束条件。横轴表示暗物质质量。红色线为本次艾清课题组的研究结果。
北京师范大学与中国科学院物理研究所联合培养博士生董婧为本研究的第一作者,北京师范大学物理与天文学院艾清副教授为通讯作者,合作者还包括中国科学院物理研究所周端陆研究员,北京理工大学光电学院何宛亭助理教授,北京师范大学本科生罗滨锴和邹上达。该研究得到了国家自然科学基金和科技创新2030项目的支持。
论文链接:
https://doi.org/10.1103/nrww-mbk1
参考文献:
1、H. Su, M. Jiang, Y. Wang, Y. Huang, X. Kang, W. Ji, X. Peng, and D. Budker, New constraints on axion-mediated spin interactions using magnetic amplification, Phys. Rev. Lett. 133, 191801 (2024).
2、X. Y. Long, W.-T. He, N.-N. Zhang, K. Tang, Z. Lin, H. Liu, X. Nie, G. Feng, J. Li, T. Xin, Q. Ai, and D. Lu, Entanglement-enhanced quantum metrology in colored noise by quantum Zeno effect, Phys. Rev. Lett. 129, 070502 (2022).
3、A. W. Chin, S. F. Huelga, and M. B. Plenio, Quantum metrology in non-Markovian environments, Phys. Rev. Lett. 109, 233601 (2012).
4、Q. Ai, Y. Li, H. Zheng, and C. P. Sun, Quantum anti-Zeno effect without rotating wave approximation, Phys. Rev. A 81, 042116 (2010).



